最小平方逼近多項式(Polynomials of Least square)
11/7/21About 2 min
最小平方逼近多項式(Polynomials of Least square)
目的
我們想要用一個多項式來逼近另一個 function
這樣的話 least square error,或一開始的 LDA 的 error 就會長

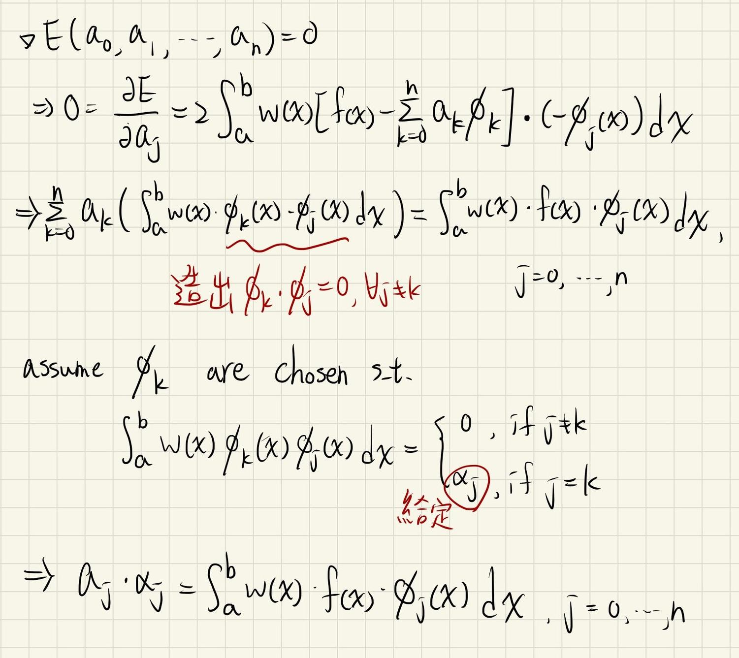
推導
而我們要最小化這個
那我們就可以開始推了:

因為 A 是個 ill-condition 且稠密的矩陣,如果要解這個線性系統會很麻煩,非常沒有效率,因此我們就要換個建構多項式的方法,其中一種方法就是利用線性獨立來操作
在操作之前要先複習一個概念:一個多項式的集合
那我們假設
所以現在

然後一樣找 gradient E = 0:

例子
Example 1. 勒壤得多項式 Legendre Function

那個
Example 2. 柴比雪夫多項式 Chebyshev polynomials

那個